北京安科管道工程科技有限公司

Beijing Safetech pipeline Co.,Ltd

超低频电磁波用于金属腐蚀控制技术的研究

首页    2.行业资讯    2.3 技术学习    超低频电磁波用于金属腐蚀控制技术的研究
刘点玉1 李磊1 杨晓岩1 常青1 刘权1 孙雪2 杨阳2
(1. 中石油北京天然气管道有限公司,北京  100000;
2. 北京安科管道工程科技有限公司,北京  100000)
摘要:本文应用极化曲线、电化学阻抗谱(EIS)、扫描电镜(SEM)、X射线衍射(XRD)等方法研究超低频电磁腐蚀用于金属腐蚀控制的技术。实验结果表明,在超低频电磁波的作用下,生锈的X60钢试片的锈层与基体之间的界面会产生一层钝化膜,其主要成分是Fe3O4, 该钝化膜可以起到保护性涂层的作用,有效抑制X60钢试片进一步发生腐蚀。 
关键词:超低频电磁波 钝化膜 腐蚀控制 交流阻抗谱 极化曲线 
中图分类号:TG17
文献标识码:A
DOI:10.13726/j.cnki.11-2706/tq.2020.01.041.06
 

 


0 前言

        电磁波,是由同相且互相垂直的电场与磁场在空间中衍生发射的震荡粒子波,是以波动的形式进行传播的电磁场,具有波粒二象性。随着电磁技术的不断发展以及人们对其功能的不断探索,超低频电磁波开始应用于多种领域,已实现各种工业化应用,比如冷却水处理、压舱水处理、碳氢化合物处理、杀菌/军团菌控制、作物促生长、锅炉水处理、CO2/SOx/NOx 废气排放控制、微生物垢层控制、CO2 还原、硬水软化等。

        腐蚀是金属结构物服役周期内所面临的重要问题,迄今已发展出多种有效的腐蚀控制措施 [1-10]。有报道发现,由超低频脉冲电磁波处理过的水环境中的钢结构耐腐蚀性能显著提高,这与其表面形成的保护膜层有关。这层钝化膜层具有自修复和无需维护的优势,可以在超低频电磁波持续作用下在整个结构物的服役周期内保持完好。

 

1 试验材料及方法

1.1  实验材料和设备

        实验材料是 X60 钢试片。实验用的特制的超低频驱动卡,可以向外辐射一定范围频率的电磁波,驱动装置额定电压 50V,额定电流 5A。直流电源额定电压 400V,额定电流 1A。电化学测试采用 GAMRY 电化学工作站。

 

1.2  实验方法 

        实验介质是土壤模拟溶液,其成分如表 1 所示。实验电路图如图 1 所示,直流电源 1 正极接 ULF 发射器的正极,负极接 ULF 发射器的负极;ULF 发射器的输出端1接直流电源2的正极,输出端2接 MMO 阳极;将生锈的 X60 钢板切割成尺寸 50×80×3mm 的实验试样,经铜导线连接到电源 2 的负极,形成闭合回路。

        电磁波频率较低时,主要借由有形的导电体才能传递。原因是在低频的电振荡中,磁电之间的相互变化比较缓慢,其能量几乎全部返回原电路而没有能量辐射出去。且电磁波是向四周发散的,要想使电磁波能集中作用在试片的表面,就需要用直流电作为引导(电源 2 即起电流引导作用),通过直流电和超低频电磁波的交流电共同作用,形成交直流电共存的方式,使电磁波能够按照直流电的走向前进。

        实验过程中输出电压 48V,直流电源 2 输出电压 2V。实验过程中试片电位不低于 -1.5V(vsSCE)。实验周期为 7 天。

 

表1 土壤模拟溶液成分表 

成分 氯化钠 氯化钙 氯化镁 硫酸钠 碳酸氢钠 氯化钾 硝酸钠
配比 0.3g/L 1.1 g/L 0.83 g/L 0.15 g/L 0.2 g/L 0.8 g/L 0.15 g/L

 

1.3  电化学测试

        电化学测试采用 GAMRY 电化学工作站,三电极体系。工作电极为 X60 试样,裸露工作面积 1cm2,辅助电极为铂电极,参比电极为饱和甘汞电极(SCE),饱和 KCl 鲁金毛细管作盐桥,电解液为模拟土壤溶液。极化曲线测试采用动电位扫描法,扫描范围为开路电位 ±300mV,扫描速率0.33mV/s。电化学阻抗谱测试频率 10-2~105Hz,测量信号幅值

 

图1   实验电路图

       

1.4  形貌观察及成分分析

        用 SEM 观察试验后的产物层形貌,用 EDS 能谱结合 XRD 分析产物的成分。

 

2 试验结果与讨论

2.1  宏观形貌观察

        实验后试样宏观形貌如图 2 所示。

(左:原始试样;中:实验试样;右:对照试样)

图2   试样表面宏观腐蚀形貌

 

        在超低频电磁波的作用下,试样基体与表面的红锈(Fe2O3)之间会产生一层黑色的钝化膜,同时试样表层的红锈会逐渐脱落,且相对于红锈,钝化膜更为致密。

        对照试样实验结束后表面依旧是被红锈覆盖。

 

2.2  微观形貌观察

        采用 GSM-6510A 型扫描电子显微镜(SEM)对试样的截面形貌进行分析,并进行元素成分分析。二次电子条件下观察到的试样表面形貌如图 3 所示。

图3   试样表面微观腐蚀形貌 SEM 照片(1000 x)

 

        由图可知,实验后试样产物层表面部分区域相对较为致密,其余部分较为疏松。

        用扫描电镜观察试样截面微观形貌,如图4所示。

 

图4   试样截面微观形貌SEM照片(2000x)

 

        由截面微观形貌图可以看出,试验后试样表面的产物有分层,相对于外层的产物,内层的产物更为均匀致密。

 

2.3  成分分析

        采用 SmartLab 型 X 射线衍射仪(XRD)对试样表面产物进行测试。图5 为试样产物层 EDS 元素成分分析(选区分析)和 XRD 图谱。

 

图5   试样产物层EDS元素分析及XRD图谱

 

        由 EDS 元素分析可知,产物层主要由 C、O、Mg、Ca、Fe 等元素构成,其中 C 元素主要密封试样的环氧树脂中的元素,Mg 和 Ca 元素主要是土壤模拟液中的元素成分。

        结合试样表面钝化膜的 EDS 图谱和 XRD 图谱,可以得出结论:试样表面生成了的钝化膜主要成分是 Fe3O4。相对于试片腐蚀产生的红锈(Fe2O3),Fe3O4 钝化层更为致密且具有极强粘附性,可以阻隔腐蚀介质对试片基体的进一步腐蚀。

 

2.4  电化学测试结果

2.4.1  电化学阻抗谱

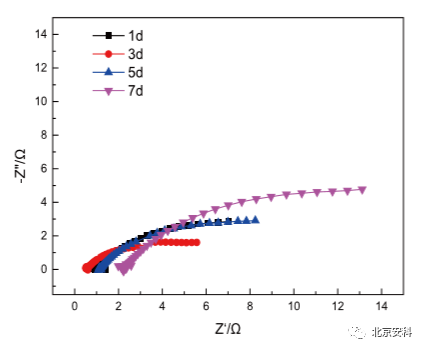
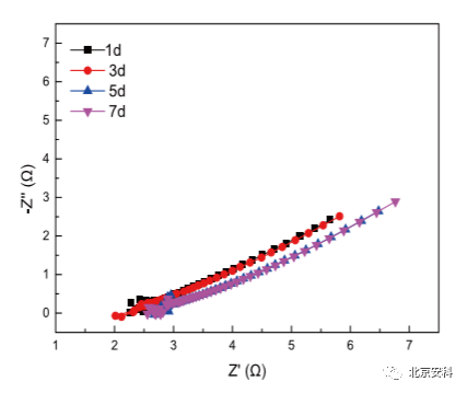
        超低频电磁波作用的试样的电化学阻抗谱如图 6所示。

 

(左图:无超低频作用试样,右图:有超低频作用试样)

图 6   试片电化学阻抗测试谱

 

        有超低频作用的试片,其 Niquist 图表现 1 个容抗弧,容抗弧半径随时间延长逐渐增大,说明腐蚀反应发生的阻力增大,腐蚀速率减小。

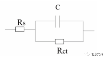
        拟合出的电路模型为 R(CR),电路图如图7所示。等效电路中 Rs 表示模拟土壤溶液的介质电阻;Rct 表示腐蚀反应的电荷转移电阻;C 代表界面反应的双电层电容。

图7   拟合电路

 

        Rct 是腐蚀反应发生的电荷转移电阻,可以在一定程度上反映试片的腐蚀速率[11-13]。Rct 越大,反应发生的阻力越大,腐蚀速率越小。由图 8 可知,在超低频电磁波的作用下,从第三天以后,试片 Rct 随浸泡时间的延长而增大,说明反应的阻力越来越大,腐蚀速率不断减小。无超低频作用的试片,其 Rct 随时间变化不大,腐蚀速率较为稳定,且比有超低频作用的试片腐蚀速率大,随着浸泡时间延长,腐蚀速率差距越来越大。

 

2.4.2  极化曲线

        实验结束后断开试片与电磁波驱动卡的连接,待体系稳定后进行动电位极化曲线的测试,如图 8 所示。

图8   Rct随时间变化图

 

        用 Cview 软件对曲线进行拟合,拟合结果如表 2 所示。

 

表2   极化曲线拟合结果

试验条件

自腐蚀电位 E0(V) 腐蚀电流密 I(A/cm2)
有超低频作用 -0.40083

4.584E-5

无超低频作用 -0.44072 8.544E-5


        由极化曲线测试结果可知,两组实验试片的自腐蚀电位相差不大,但无超低频作用的试片腐蚀电流密度约是有超低频作用试片腐蚀电流的的两倍。腐蚀电流密度可以反映试片的腐蚀速率,故无超低频作用的试片腐蚀速率大约是有超低频作用试片腐蚀速率的两倍。说明在超低频电磁波的作用下,试片的腐蚀速率得到有效控制。

图 9   极化曲线

 

3 分析与讨论

        金属例如 Fe 发生腐蚀时阴阳极半反应产物离子相互结合形成 Fe(OH)2,在室温条件下,Fe(OH)2 会继续发生氧化而生成 Fe(OH)3 或 Fe2O3•3H2O(红锈),这种锈层疏松,对金属结构基本没有任何保护效果。在超低频电磁波激发作用下,受保护金属结构在室温条件下便可以在表面形成坚硬、致密且具有极强粘附性的黑色 Fe3O4 钝化层,这种钝化层厚度可以达到 30μm 以上,阻隔腐蚀介质对金属基体的腐蚀,最终大大减缓腐蚀速率,为金属结构提供足够的保护。

        超低频电磁波技术作为一种具有潜力的新型腐蚀控制方法,尚未得到规模化的工业应用。用该技术对在一定环境介质中服役的金属结构进行保护时,超低频电磁波发生系统不仅可以产生保护电流防止结构物表面发生腐蚀,而更重要的是可以同时在结构物表面形成自修复的 Fe3O4 钝化膜,这层钝化膜起到保护性涂层的作用,可以有效的抑制金属结构的进一步腐蚀。因此,这项技术用于金属结构的外腐蚀控制是很值得进一步探索的新方法。

        考虑到石油储罐的使用寿命超过 40 年或更长,而在超过 15 年后,储罐底板外表面涂层破损率在 20%~40%,重新代入上述计算公式计算I为 13~24A。由计算可知,该项目的 10 万方储罐底板外表面的使用寿命末期的阴极保护电流不会超过 30A。

 

4 结论

        通过国家标准进行石油储罐外底板阴极保护设计时,需要充分考虑实际工程使用时的环境变化因素,这些因素的变化会造成阴极保护电流的变化,科学的选择保护方式和设计参数能够有效控制被

 

 

Reach on Ultra Low Frequency Electromagnetic Wave 
for metal Corrasion Control Technology 
LIU Dian-yu1,  LI Lei1,  YANG Xiao-yan1,  CHANG Qing1,  LIU Quan1,  SUN Xue2,  YANG Yang2 
(1.Petrochina Beijing Gas Pipeline Co., Ltd. Beijing 100000, China; 
2. Beijing Safetech Pipeline Co., Ltd. Beijing 100000, China) 
Abstract: In this paper, the methods of polarization curve and electrochemical impedance spectroscopy (EIS), scanning electron microscopy (SEM), X-ray diffraction (XRD) and other methods are used to study ultra-low frequency electromagnetic metal corrosion control technology. The experimental results show that, under the effect of ultra-low frequency electromagnetic wave, a layer of passivating film can be produced at the interface between the rust layer and the substrate of the rusted X60 steel test piece. Its main component is Fe3O4. The passivating film can play the role of protective coating, and it can effectively inhibit further corrosion of the test piece. 
Key words: ultra-low frequency electromagnetic wave; passivating film; corrosion control; frequency response analysis; polarization curve

保护体的腐蚀发生,而且保证系统长期可靠。定期巡检和及时修复受损系统是阴极保护系统维护中必不可少的环境,否则腐蚀将蓄积发生。


 

Reach on Ultra Low Frequency Electromagnetic Wave 
for metal Corrasion Control Technology 
LIU Dian-yu1,  LI Lei1,  YANG Xiao-yan1,  CHANG Qing1,  LIU Quan1,  SUN Xue2,  YANG Yang2 
(1.Petrochina Beijing Gas Pipeline Co., Ltd. Beijing 100000, China; 
2. Beijing Safetech Pipeline Co., Ltd. Beijing 100000, China) 
Abstract: In this paper, the methods of polarization curve and electrochemical impedance spectroscopy (EIS), scanning electron microscopy (SEM), X-ray diffraction (XRD) and other methods are used to study ultra-low frequency electromagnetic metal corrosion control technology. The experimental results show that, under the effect of ultra-low frequency electromagnetic wave, a layer of passivating film can be produced at the interface between the rust layer and the substrate of the rusted X60 steel test piece. Its main component is Fe3O4. The passivating film can play the role of protective coating, and it can effectively inhibit further corrosion of the test piece. 
Key words: ultra-low frequency electromagnetic wave; passivating film; corrosion control; frequency response analysis; polarization curve
2023年7月16日 23:46
浏览量:0
收藏